Dasyproctus & Neodasyproctus (Crabronini)

Cover image: Dasyproctus agilis, Srl Lanka. Collector: K.V. Krombein. Depository: Smithsonian Institute. see BOLD site for details.
Workbook
Update March 2026
I’m in the process of updating this page, based on a Leclercq’s more recent work (2015) that I had previously overlooked. It sheds more light on species diagnoses, and includes specimens he didn’t have available for his 1972 work.
See the following extracts & translations (for which I’ll develop a summary table soon):
With the apically nodose peduncle to the gaster and the cuboidal head, these little wasps might initially be mistaken for Pemphredoninae. However, the eye shape (crowding the antennal sockets) & the single submarginal cell help in recognition to tribe Crabronini. They also resemble Podagritus and Rhopalum, but the entire gaster of those species tends to be more slender. Also useful in discriminating between them: the forewing venation (Rhopalum differs); the female pygidial plate (‘gutterlike … narrowed and concave apically ’ in Dasyproctus & Neodasyproctus, cf. nearly flat, triangular and punctate in Podagritus).
As there are just six species of Dasyproctus and Neodasyproctus currently listed on the Australian Faunal Directory (AFD), I decided to see if it might be possible to ID field photos (or photos of collected insects) to species level.
extract Australian Faunal Directory (at 3 July, 2024)
Unfortunately I don’t have a specimen in the hand and have never actually sighted one in the field …. although there is at least one species we could expect to find here in the south, Dasyproctus expectatus. There are just a small number of Australian sightings on iNat identified to genus Dasyproctus, including some very good images.
1: Morphology & terminology
The fact that many structures go by a variety of names is no great surprise. But this week I discovered what a hurdle this can be when working across decades and multiple authors to try to understand a single taxon. Several of the diagnostic features for the genus and species are described in a rather bewildering array of terms. When combined with the inevitable translation challenges of working across languages, I was starting to sink. Time to step back and ask ‘who means what?’.
2: Species discrimination
Despite my early optimism, I’ve decided to abandon any hope of a systematic schema for species identification. There is simply not enough reliable information. Leclercq (1972) lamented the shortage of available specimens for examination, and I’ve not discovered any subsequent review of either genus in Australia.
The summary below is therefore a rough guide only.
Colour and species discrimination
Despite the limited Australian material available, Leclercq was able to derive the aspects of colouration most useful for species-level diagnosis by inference from species elsewhere (Leclercq 1958, p.114) . These characters are:
The presence or absence of yellow on the mandibles, pedicel, pronotal lobes, femora & tibiae.
The comparative size and shape of the yellow markings on TII, TIII & TIV
3: Bits & pieces from the source literature
Below is a collection of information relating to the description of each Australian species. Much of this work was undertaken by Turner in the 1910-1920s and then Leclercq (1950-70s). I’ve included very rough translations of the Latin and French where relevant, but stress that these are unpolished/edited (based in large part on Google Translate). For example: haunches (French) = hips (Google) = coxae (English).
Of course, all cited works are listed in the References section and most/all are readily accessed online.
GENUS: Dasyproctus
Much of what is known of Australian species in this genus is thanks to the work of the Belgian entomologist Jean Leclercq. In particular, the 1958 paper provided a detailed discussion of the key features for recognising this genus and for distinguishing between species. And, happily, Leclercq included a diagram to highlight several otherwise enigmatic structures that were subsequently referred to in species descriptions.
GENUS: Neodasyproctus
[No records on BOLD, no identified images on iNat (or apparently online anywhere). Ozam has no records, let alone any images.]
Dasyproctus austragilis
Holotype: female, Mackay (1891). Leclercq had both males & females for 1972 description of this as a new species.
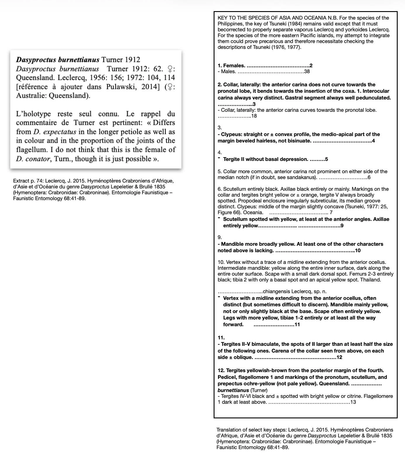
Dasyproctus burnettianus
Known only from female holoptype, collected in Bundaberg, and may be related to the male D. conator from the same region (Leclercq 1972) … i.e. perhaps they are synonymous.
Dasyproctus conator
Originally described from male (Cooktown, QLD). Leclercq discusses possibility that this is the ‘missing male’ of D. burnettianus, but at this stage suggests the differences are sufficient for the two to be considered distinct species. Also of note, the similarities & differences to D. expectatus.
Dasyproctus expectatus
Holotype: female collected in Sydney, 1904
Dasyproctus yorki
Holotype: female collected in Cape York, QLD.
Neodasyproctus veitchi
Holotype: female, collected Fiji. According to AFD, it is widespread across Australia
I’ve yet to find many verified reference images online (e.g. OzCam, GBIF, Museums Victoria) although there are a few on BOLD, including one specimen from Australia (Townsville). It is not a type, and is identified to genus only. The cover image I used here is Dasyproctus agilis, collected in Sri Lanka and the image sourced from the Smithsonian Institute, via BOLD. Dasyproctus agilis does not occur in Australia but is referenced in descriptions of D. austragilis, so it may be useful as a comparison.
References
Arnold, G. 1922. The Sphegidae of South Africa. Part I. Annals of the Transvaal Museum 9: 101–138
Arnold, G. 1926. The Sphegidae of South Africa. Part VII. Annals of the Transvaal Museum 11: 338–376 (see Wikispecies listing for access)
Arnold, G. 1945. The Sphecidae of Madagascar. Cambridge University Press, Cambridge. 193 pp (see Wikispecies listing for access)
Bohart, R.M. & Menke, A.S. 1976. Sphecid Wasps of the World: a Generic Revision. Berkeley : Univ. California Press ix 695 pp.
Leclercq, J. 1950. Notes systématiques sur les Crabroniens; pédonculés Cr (Hymenoptera Sphecidae). Bulletin de l'Institut Royal des Sciences Naturelles de Belgique 26(15): 1-19 (see Wikispecies listings for Leclercq)
Leclercq, J. 1951. Sur quelques Neodasyproctus (Arnold, 1926) nouveaux ou peu connus (Hymenoptera, Sphecidae, Crabroninae). Revue de Zoologie et de Botanique Africaines 44: 333-337 (see Wikispecies listings for Leclercq)
Leclercq, J. 1954. Monographie systématique, phylogénétique et zoogéographique des Hyménoptères Crabroniens. Les Presses de Lejeunia, Liège. 371 pp., 84 maps (see Wikispecies listings for access)
Leclercq, J. 1956. Les Dasyproctus (Lepeletier de St-Fargeau et Brullé) du sud-est asiatique et de l'Océanie (Hym. Sphecidae Crabroninae). Bulletin et Annales de la Société Royale Belgique d'Entomologie 92: 139-167
Leclercq, J. 1958. Hymenoptera Sphecoidea (Sphecidae II. Subfam. Crabroninae) in Exploration du Parc National de l'Upemba. I. Mission G.F. de Witte an collaboration avec W. Adam, A. Janssens, L. van Meel et R. Verheyen (1946–1949), Fascicule 45: 1–114 access via California Academy of Sciences
Leclercq, J. 1972. Crabroniens du genre Dasyproctus trouvés en Asie et en Océanie. Bulletin de la Société Royale des Sciences de Liège 41: 101-122
Leclercq, J. 2015. Hyménoptères Crabroniens d’Afrique, d’Asie et d’Océanie du genre Dasyproctus Lepeletier & Brullé 1835 (Hymenoptera: Crabronidae: Crabroninae). Entomologie Faunistique – Faunistic Entomology 68:41-89 access via California Academy of Sciences
Pate, V.S.L. 1944. Conspectus of the Genera of Pemphilidine Wasps (Hymenoptera: Sphecidae). The American Midland Naturalist, 31(2): 329-384
Turner, R.E. 1908. Notes on the Australian fossorial wasps of the family Sphegidae, with descriptions of new species. Proceedings of the Zoological Society of London 1908: 457-535
Turner, R.E. 1912. Notes on fossorial Hymenoptera. IX. On some new species from the Australian and Austro-Malayan regions. Annals and Magazine of Natural History 8 10: 48-63
Turner, R.E. 1917. New species of Hymenoptera in the British Museum. Transactions of the Entomological Society of London 1917(1): 53-84
Smith, F. 1858-9. Catalogue of hymenopterous insects collected at Celebes by Mr. A.R. Wallace. Journal of the Proceedings of the Linnean Society: Zoology. III: 4-27 access via BHL
This is a workbook page … a part of our website where we record the observations and references used in making species identifications. The notes will not necessarily be complete. They are a record for our own use, but we are happy to share this information with others.